Les fake news ont tendance à être plus partagées par les plus de 65 ans
Une enquête publiée sur Science Advances montre que les personnes âgées de 65 ans et plus sont celles qui partagent le plus de fake news sur Facebook. Le rapport, mené par des chercheurs des universités de New York et Princeton en partenariat avec le cabinet YouGov, a examiné le comportement et les partages de 3500 personnes au cours des mois précédant et suivant l’élection présidentielle américaine de 2016.
Seulement 8,5% des sondés ont partagé au moins un lien issu d’un site propageant des fake news
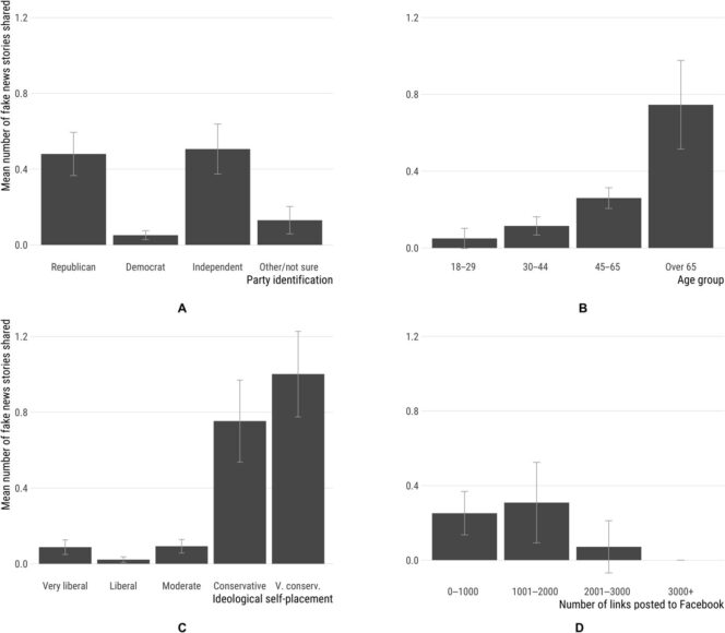
Parmi les premiers constats de l’étude, seuls 8,5% des personnes interrogées ont partagé une ou plusieurs infox, toutes tranches d’âge confondues. Le rapport montre cependant que les profils identifiés comme étant conservateurs ont plus tendance à partager des fake news que les profils libéraux. 18% des Républicains ont ainsi partagé des hoax, contre moins de 4% chez les démocrates. Des résultats qui selon les chercheurs se recoupent avec d’autres études, affirmant que la propagation des fake news a largement servi la campagne de Donald Trump.
Parmi les profils analysés, 11% des plus 65 ans ont partagé des infox, contre 3% chez les 18-29 ans
Selon le rapport, les personnes âgées de 65 ans et plus ont partagé plus de 2 fois plus d’infox que les 45-65 ans, et près de 7 fois plus d’infox que le groupe d’étude le plus jeune, à savoir les 18-29. Parmi ces derniers, seuls 3% ont partagé des fake news, contre 11% chez les personnes ayant plus de 65 ans. L’étude n’a pas permis de savoir avec certitude pourquoi les personnes plus âgées sont plus susceptibles de partager des infox, mais selon les chercheurs deux théories sont possibles :
- Les personnes de cette tranche d’âge, qui sont arrivées plus tard sur Internet, n’ont pas les mêmes compétences en matière d’alphabétisation numérique que les profils plus jeunes.
- Les gens subissent un déclin cognitif avec l’âge, ce qui les rend plus susceptibles de se faire piéger par de faux articles.

Le design de ces « hoax » a en tout cas une influence certaine. La propagation rapide des infox sur Facebook vient en partie du fait que les articles ont plus ou moins la même apparence dans le fil d’actualité. Ceux issus de sites douteux ressemblent ainsi beaucoup à ceux qui proviennent de sources fiables comme le New York Times.
Matthew Gentzkow, chercheur à l’Institut de recherche sur la politique économique à l’université de Stanford qui a étudié les efforts faits par Facebook pour freiner la propagation de fausses informations, a par ailleurs déclaré que les résultats d’une nouvelle étude sur l’âge pourraient aider les plateformes technologiques à concevoir des outils plus efficaces : « Si le problème est concentré sur un groupe de personnes relativement restreint, la réflexion sur les interventions qui seraient les plus efficaces a mener pour ces personnes nous mènera beaucoup plus loin. »
Les recherches futures pourraient également permettre de déterminer si il existe un lien entre voir des fake news dans son fil d’actualité et les partager. Les chercheurs spéculent en effet sur la tendance à partager des infox plus facilement si elles sont au préalables partagées par un ami de confiance.

« Parmi les premiers constats de l’étude, seuls 8,5% des personnes interrogées ont partagé une ou plusieurs infox »
Je ne comprends pas, est-ce qu’ils savent toujours après coup qu’il s’agit d’une intox ? Et pourquoi avoueraient-ils s’être trompé ? Ou alors ils l’ont fait exprès ? Dans ce cas là le diraient-ils ?